The human brain perceives better through images.
As they say – A picture is worth a thousand words.
I have been doing data driven personal finance decisions for some time now.
With a combination of Python libraries and data from aggregator websites like valueresearchonline.com (Indian Mutual Funds), I was able to create visuals that gave a new meaning to my decisions.
For example, in selection of mutual funds most people will just go with the ValueResearchOnline’s rating system and pick 4-star or 5-star funds. It is a system to rank the mutual funds based on risk adjusted returns.
Nothing wrong with that, but why not see the data for yourself?
With a bit of analysis, you can project the data yourself to understand long term trends.
Let’s pull the valueresearchonline.com equity funds’ data into a CSV file and load using Python.

Note: Some of the exotic fund categories (with fewer specialized funds) like EQ-BANK will be filtered out in below analysis.
For example, here is a box-plot showing 20 Year Returns per Category of Equity Mutual Funds.

It is easy to draw a few quick conclusions from this data for a time horizon of 20 years.
- EQ-MC (Mid Cap Funds) fared the best with a mean return of 18%
- 25% of the mid-cap funds returned less than 15%.
- 25% of the funds exceeded a return of 20%.
- The Inter-Quartile Range (50%-75% of the EQ-MC funds) returns are 15-20% as depicted by the solid box.
- The long tail in the bottom of EQ-MC shows that not all funds will get inter-quartile returns, hence there is a risk to invest only in Mid-cap funds. Many of them performed well below the mean.
- EQ-THEMATIC funds did not fare that good in comparison to others, as themes are cyclical and it is never a good idea to time the market. We will see below in 10 and 15 years, they perform better in the short term validating their cyclical nature.
- EQ-LC (Large Cap) and EQ-L&MC (Large & Mid Cap) funds have the least variations from their IQR (see the whiskers on top and bottom of the box), indicating investments in these funds are stable over long term.
- For large caps, the variations are upward, which means more funds in this category surpass the average or IQR returns than other categories.
Let us now look at the short term of 3 years, to indicate the risk of equity in short term.

As you can see, if you draw a horizontal line on 0% returns :
- Only EQ-INTL (International Funds) and EQ-LC (Large Cap) have their heads respectfully above the water.
- The International Funds are mainly invested in US stocks, and the US stock market has been bullish for few years since 2010.
- The EQ-LC (Large cap) as we concluded earlier is stable and not so volatile as others, even in the shorter time frame.
- See the increased number of outliers (the dots beyond the whiskers) shows the unpredictability of equity fund performance in less than 3 years.
- In the 20 year’s plot, there were hardly any outliers seen which indicates that over the long term, the returns across various categories are range-bound and hence more predictable.
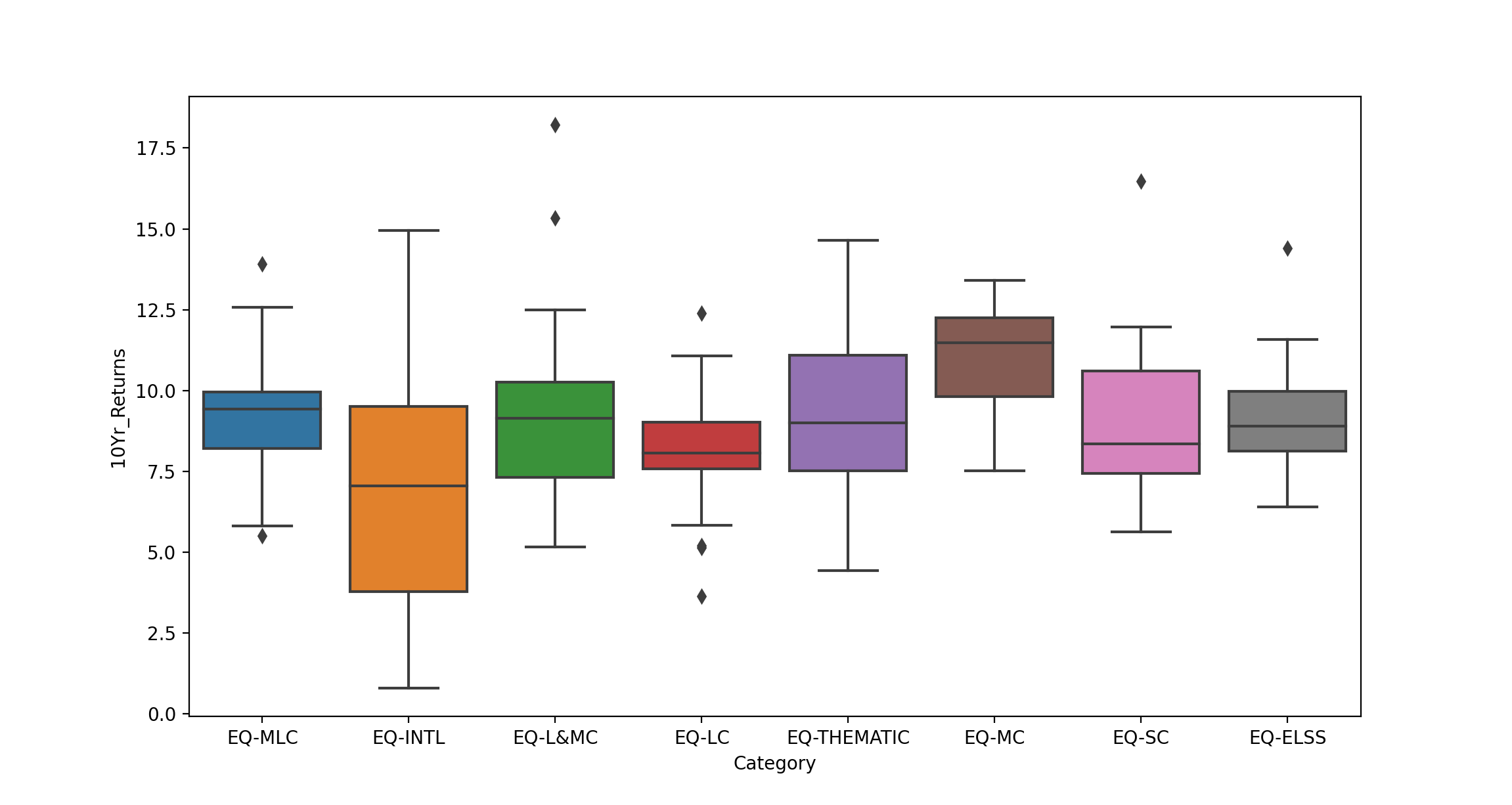
Comparatively here are similar plots for 10 Years and 15 Years.


A few things to observe from the 10 and 15 year plots.
- The number of outliers (variation in returns of funds) start reducing from 3 to 10 to 15 to 20 years, thus Equity funds should be considered only for a long term portfolio.
- Different categories will perform differently over time horizons, hence a diversified portfolio should consider funds across categories without too many overlaps.
- It is futile to chase the best performance, and for a personal portfolio it is good to choose funds within the IQR in each category.
- If selected carefully, 4-5 funds across categories are enough to form a long term diversified portfolio.
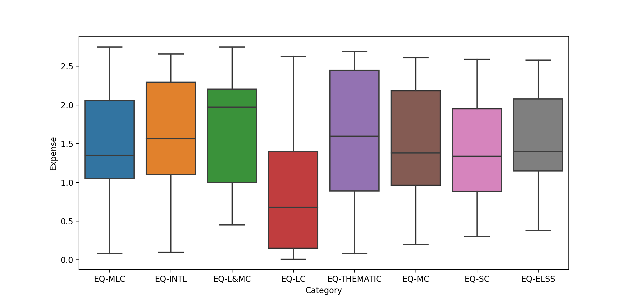
Finally we come to the factor that I call the slow poison – Expense Ratio.

Lets again draw some observations:
- EQ-LC has the lowest expense ratio on an average.This is more dragged down due to the Nifty and Sensex Index funds.
- The EQ-L&MC funds have the highest expenses (~ 2.0%) but in the 20 year range, performs close to EQ-LC (see the 20 year plot earlier). This category may then be best avoided depending on one’s personal time horizon and situation.
- Same for EQ-THEMATIC with high expense ratios and not so good returns over long term, may be considered as cyclical fad only.
- EQ-LC, EQ-MLC (multi-cap), EQ-MC and EQ-INTL are the ones worth considering for a diversified long term portfolio, with more allocation towards stable and low cost EQ-LC.
Lastly let us see how the Expense ratio scatters with respect to the 20 year returns.

Again we can draw some pretty useful insights in selecting a fund portfolio.
- If you are happy with 10-12% returns, then there are low cost funds with less than 0.5% expense ratio. These are Index funds and very popular in developed economies, but not yet so much popular in India.
- If you want to boast to your friends and family about spectacular returns, pick from the top quartile range of >15% returns but be ready to pay >1.8% expense ratio every year.
- There is little value in paying expense ratio over 2.0% as the returns normalize to same as low cost Index funds, as indicated by the density hues (black hexagons).
- Just be aware that Expense Ratio is paid every year on your portfolio, whether the market goes up or down. That is, your beloved fund manager makes money off you every year, whether you make a profit or loss.
- You can save around 1% by investing directly with the Mutual Fund house (called Direct option) than through regular channels like brokers, banks.
This proves that like in US, slowly Index funds will start to make sense over long term in India too. This data corroborates my earlier posts on the same tenets of investing.
The 3 dimensions of investment planning
Disclaimer
- I am not a Financial Advisor by profession and the views expressed in this post are my own analysis of the data.
- Past performance is not a guarantee of the future.
- The data analysis does not take into account other factors like risk/return metrics of funds, and many other financial metrics.
- The data used here is confined to only Equity Mutual Funds and similar analysis can be done for Debt, Balanced and Specialty Fund categories too.
- Readers are encouraged to do their own due diligence on similar lines. The data is sourced from www.valueresearchonline.com . The veracity of the data lies with the site.
- There is no one-size-fits-all portfolio and this post is not an investment advice or recommendation.
- The data and analysis applies only to the Indian Mutual Fund data as downloaded from www.valueresearchonline.com . It should not be extrapolated to other countries and markets.
- For more detailed views and opinions, visit www.valueresearchonline.com . I am not an affiliate of the site and do not receive any remuneration or credit.
